技术专题
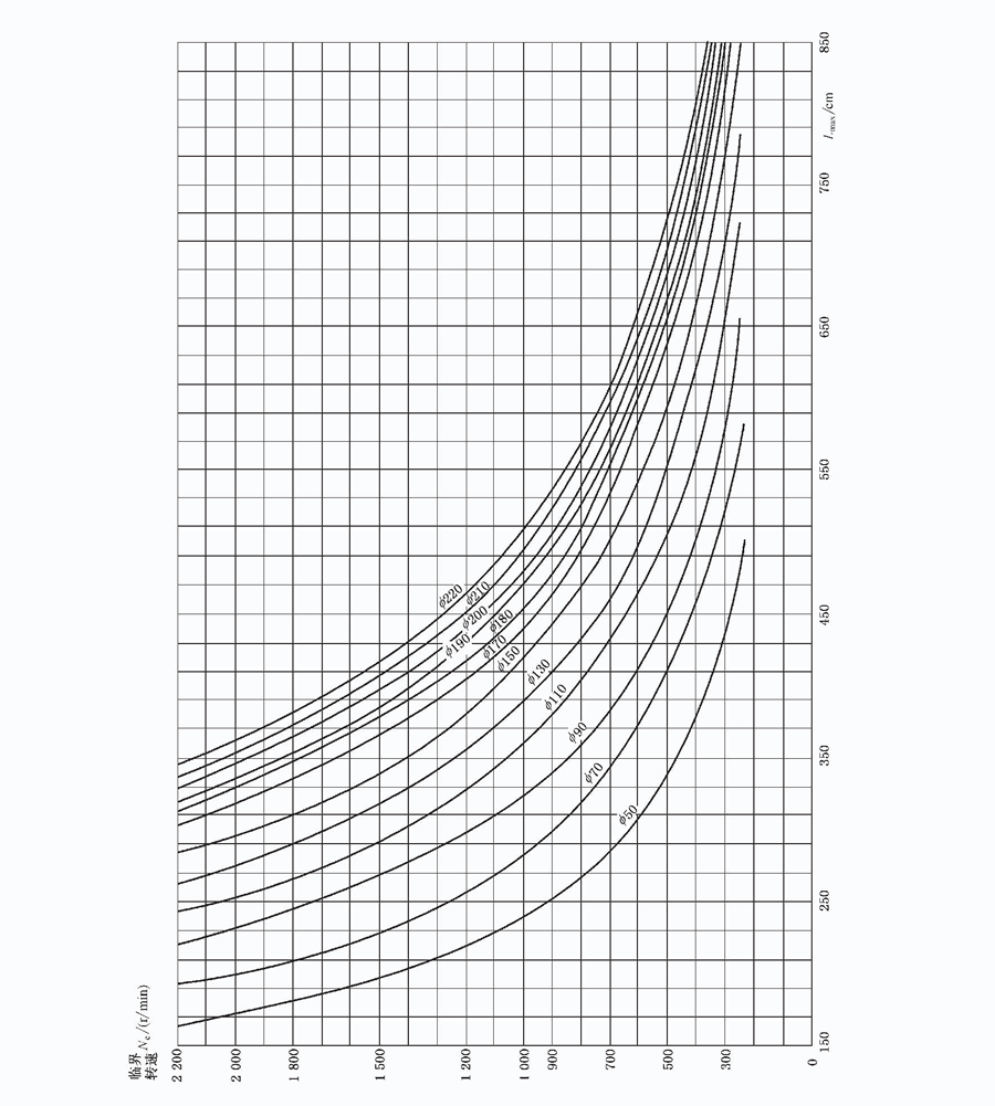
立式长轴泵最大轴承跨距及临界转速曲线图
2020/4/15 11:55:54
立式长轴泵最大轴承跨距及临界转速曲线图:HLB、HLBK、HLKT、HLBS、HLKS等长轴泵,立式长轴泵,长轴斜流泵,立式斜流泵最大轴承跨距及临界转速曲线图,仅供参考,以实物为准!

立式长轴泵最大轴承跨距及临界转速曲线图:HLB、HLBK、HLKT、HLBS、HLKS等长轴泵,立式长轴泵,长轴斜流泵,立式斜流泵最大轴承跨距及临界转速曲线图,仅供参考,以实物为准!
